Terbaru 22+ RPP Konversi Satuan Panjang
Poin pembahasan Terbaru 22+ RPP Konversi Satuan Panjang adalah :

Aplikasi Matematika Konversi Satuan Panjang Sekolah SD Sumber www.revisi.id

Fisika Siswa Alat Ukur Panjang Besaran Satuan Dimensi Sumber fisikasiswa.blogspot.com

Rpp besaran satuan Sumber www.slideshare.net

Model rpp ipa fisika Sumber www.slideshare.net

RPP Besaran dan Satuan Kurikulum 2020 Fisika dan Sains Sumber fisikadansains.blogspot.com

Media Pembelajaran Matematika tengtang Satuan Ukur Waktu Sumber miwajibbelajarngares.blogspot.com

Rangkuman Fisika Materi Satuan SMP dan SMA Markas Fisika Sumber markasfisika.blogspot.com

RPP Besaran dan Satuan Kurikulum 2020 Fisika dan Sains Sumber fisikadansains.blogspot.com

RPP Besaran dan Satuan Kurikulum 2020 Fisika dan Sains Sumber fisikadansains.blogspot.com

1 rpp pengukuran Sumber www.slideshare.net

RPP Besaran dan Satuan Kurikulum 2020 Fisika dan Sains Sumber fisikadansains.blogspot.com

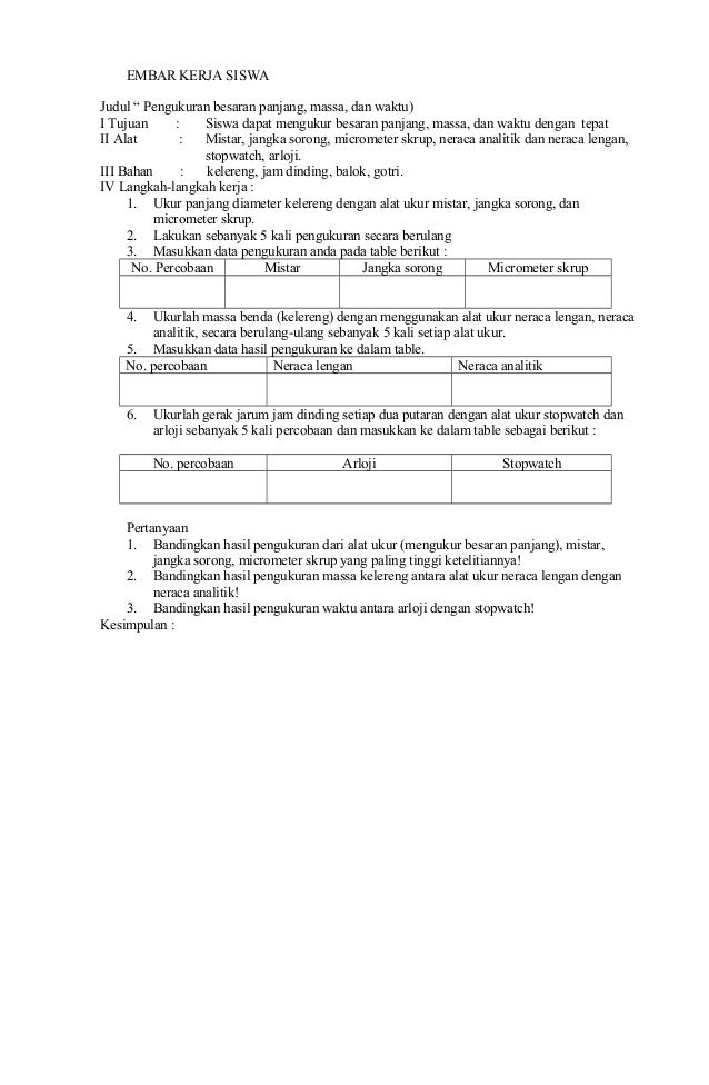
Rpp pengukuran panjang Sumber www.slideshare.net

Rpp ipa kls vii 1 2020 2020 Sumber www.slideshare.net

RPP mm Anes satuan pengukuran waktu rppmmkelas1 Sumber rppmmkelas1.wordpress.com

Hubungan Antar Satuan Waktu Panjang Berat dan Sumber kelasbuayu.blogspot.com
rpp satuan panjang kls 4 k13, rpp matematika satuan panjang, rpp satuan panjang kelas 5 k13, rpp matematika kelas 4 tentang pengukuran panjang dan berat, rpp mtk satuan panjang, rpp ktsp kelas 4 materi satuan panjang, rpp matematika kelas 2 sd tentang pengukuran berat, rpp tematik satuan waktu,
Aplikasi Matematika Konversi Satuan Panjang Sekolah SD Sumber www.revisi.id
Blog Ilmu Pasti Konversi Satuan Panjang
Mendeskripsikan pengertian satuan dengan tepat Melakukan pengukuran terhadap besaran pokok massa panjang dan waktu secara benar Membandingkan besaran pokok dan besaran turunan serta dapat memberikan contohnya dalam kehidupan sehari hari Mengetahui besaran pokok dan turunannya serta satuan dalam SI

Fisika Siswa Alat Ukur Panjang Besaran Satuan Dimensi Sumber fisikasiswa.blogspot.com
Konversi Satuan Lengkap Panjang Berat Luas Waktu dan
CONTOH RPP PENGUKURAN KURIKULUM 2020 KLS VII SMSTR 1 201RENCANA PELAKSANAAN PEMBELAJARAN RPP Dapat melakukan konversi satuan dalam SI dengan memanfaatkan nilai awalnya D Mengukur merupakan kegiatan membandingkan suatu besaran yang diukur dengan besaran sejenis yang dipakai sebagai satuan Misalnya melakukan pengukuran panjang meja

Rpp besaran satuan Sumber www.slideshare.net
RPP Besaran dan Satuan Kurikulum 2020 Fisika dan Sains
Gambar di atas merupakan alat ukur baku bagian atas menunjukkan sentimeter Hasil pengukuran kadang kadang tidak kita peroleh bilangan yang tepat karena itu diambil bilangan yang terdekat perhatikan gambar di bawah ini pangkal pensil diimpitkan dengan angka 0 nol ternyata ujung pensil berimpit dengan angka 8 jadi panjang pensil adalah 8 cm

Model rpp ipa fisika Sumber www.slideshare.net
MY WORLD CONTOH RPP PENGUKURAN KURIKULUM 2020 KLS
Lebar panjang satuannya meter m Sehingga satuan luas m 2 yang diturunkan dari satuan panjang dan satuan lebar panjang m x m m 2 satuan yang lain adalah cm 1cm 10 m Satuan volume dalam SI adalah m satuan yang lain adalah cm 1 cm 10 m Konversi berbagai satuan ke dalam satuan yang digunakan dalam kehidupan

RPP Besaran dan Satuan Kurikulum 2020 Fisika dan Sains Sumber fisikadansains.blogspot.com
RPP MATEMATIKA KELAS II ALAT UKUR PANJANG
02 01 2020 RPP Matematika Satuan Berat RENCANA PELAKSANAAN PEMBELAJARAN Satuan Pendidikan SD Bani Saleh II Bekasi Mata Pelajaran Matematika 2 3 Mengenal hubungan antar satuan waktu antar satuan panjang dan antar satuan berat C INDIKATOR 1 Kognitif a Menentukan hubungan kg dengan ons dan sebaliknya

Media Pembelajaran Matematika tengtang Satuan Ukur Waktu Sumber miwajibbelajarngares.blogspot.com
Contoh RPP Berkarakter SMP Mapel Fisika kelas VII OEMAH
RPP KELAS 7 SEMESTER 1 BESARAN POKOK PANJANG MASSA DAN WAKTU SERTA PENGUKURANNYA 3 KURIKULUM 2020 RENCANA PELAKSANAAN PEMBELAJARAN RPP PERTEMUAN 3 ada pada diri makhluk hidup dan lingkungan fisik sekitar sebagai bagian dari observasi serta pentingnya perumusan satuan terstandar baku dalam pengukuran

Rangkuman Fisika Materi Satuan SMP dan SMA Markas Fisika Sumber markasfisika.blogspot.com
Rima Putri s Blog RPP Matematika Satuan Berat
15 01 2020 Konversi Satuan Panjang dapat dibagi menjadi beberapa maksud yang juga dapat mewakili jarak tinggi atau vertikal serta lebar atau jarak dari satu sisi juga diukur pada sudut tegak lurus terhadap suatu benda Dalam beberapa situasi nilai panjang dapat dikonversi atau dirubah ke dalam satuan unit umum yang lain Unit satuan panjang yang biasanya sering digunakan adalah km m

RPP Besaran dan Satuan Kurikulum 2020 Fisika dan Sains Sumber fisikadansains.blogspot.com
RPP KELAS 7 SEMESTER 1 BESARAN POKOK PANJANG MASSA
Kumpulan RPP Kurikulum 2020 dan KTSP persegi panjang berikut ini adalah persegi panjang yang bisa anda download secara gratis di website kami Skip to content Aplikasi Konversi Satuan Panjang Format Excel Aplikasi Konversi Satuan Panjang Format Excel Adalah Aplikasi sederhana

RPP Besaran dan Satuan Kurikulum 2020 Fisika dan Sains Sumber fisikadansains.blogspot.com
Konversi Ukuran Satuan Panjang Lengkap km m cm mm mil

1 rpp pengukuran Sumber www.slideshare.net
Persegi Panjang RPP GURU

RPP Besaran dan Satuan Kurikulum 2020 Fisika dan Sains Sumber fisikadansains.blogspot.com

Rpp pengukuran panjang Sumber www.slideshare.net

Rpp ipa kls vii 1 2020 2020 Sumber www.slideshare.net

RPP mm Anes satuan pengukuran waktu rppmmkelas1 Sumber rppmmkelas1.wordpress.com

Hubungan Antar Satuan Waktu Panjang Berat dan Sumber kelasbuayu.blogspot.com
loading...
0 Comments